Estratégia Financeira

Part 3 - ch.11 Optimal Portfolio Choice and the Capital Asset Pricing Model

Henrique C. Martins

11-01-2024

Chapter Outline

11.1 The Expected Return of a Portfolio

11.2 The Volatility of a Two-Stock Portfolio

11.3 The Volatility of a Large Portfolio

11.4 Risk Versus Return: Choosing an Efficient Portfolio

11.5 Risk-Free Saving and Borrowing

11.6 The Efficient Portfolio and Required Returns

11.7 The Capital Asset Pricing Model

11.8 Determining the Risk Premium

11.1 Expected return of a portfolio

11.1 Expected return of a portfolio

Suppose you have two stocks:

Amazon: \(x_1\): 40%, Return: 10%, Risk: 26.6%

Southwest: \(x_2\): 60%, Return: 15%, Risk: 27.9%

If your portfolio is 40% Amazon + 60% Southwest, then your return is:

\[(0.4 \times 10\%) +(0.6 \times 15\%) = 13\%\]

There is no secret here, the return of a portfolio is the weighted average of returns.

The weights are selected by the investors and, obviously, if prices change, the weights change over time.

11.2 Volatility of a 2-stock portfolio

11.2 Volatility of a 2-stock portfolio

To compute the standard deviation of a portfolio, we cannot rely on the weighted average. We have to look to the covariances.

  • \(\sigma^2_1\) = variance of asset 1.
  • \(\sigma^2_2\) = variance of asset 2
  • \(\sigma_{12}\) = covariance between assets 1 and 2

11.2 Volatility of a 2-stock portfolio

Covariance is the product of the assets’ Sd and their correlation.

\[\sigma_{12} = \sigma_1 \times \sigma_2 \times \rho_{12}\]

Covariance is the expected product of the deviations of two returns from their means.

\[Cov(R_i,R_j) = E[(R_i-E[R_i]) \times (R_j-E[R_j]) ]\]

When using historical data:

\[Cov(R_i,R_j) = \frac{1}{T-1} (R_i-\tilde{R_i} ) \times (R_j-\tilde{R_j} )\]

Correlation:

\[Corr(R_i,R_j) = \frac{Cov(R_i,R_j)}{Sd(R_i)\times Sd(R_j) }\]

11.2 Volatility of a 2-stock portfolio

Therefore, the portfolio variance is:

\[var = (x_1^2 \times \sigma_1^2) + (x_2^2 \times \sigma_2^2) + 2(x_1 \times x_2 \times \sigma_1 \times \sigma_2 \times \rho_{12})\]

If \(\rho_{12} = 0.26\)

\[(0.4^2 \times 26.6^2) + (0.6^2 \times 27.9^2) + 2(0.4 \times 0.6 \times 26.6 \times 27.9 \times 0.26) = 486.1\]

The standard deviation of the portfolio is \(\sqrt{486.1}= 22\%\), which is lower than 26.6% and 27.9%.

11.2 Volatility of a 2-stock portfolio

Covariance and Correlation

Let’s remember the basics about correlation.

11.2 Volatility of a 2-stock portfolio

Covariance and Correlation

These assets have the same historical return and volatility, but they ‘move’ very differently:

  • For example, when North Air performed well, Text Oil tended to do poorly, and when North Air did poorly, Text oil tended to do well

  • North Air is not positively correlated with Text Oil.

  • Consider the portfolio which consists of equal investments in West Air and Tex Oil. The average return of the portfolio is equal to the average return of the two stocks…

  • However, the volatility of 5.1% is much less than the volatility of the two individual stocks.

The amount of risk that is eliminated in a portfolio depends on the degree to which the stocks face common risks and their prices move together.

11.2 Volatility of a 2-stock portfolio

R
library(PerformanceAnalytics)
library(yfR)
library(ggplot2)
library(dplyr)
library(tidyr)
library(ggthemes)
library(tidyquant)
library(roll)
library(plotly)
library(ggthemes)
stocks <-c('BBDC3.SA', 'PETR3.SA') 
start <-'2010-01-01' 
end   <-Sys.Date()  
data <- yf_get(tickers = stocks, 
                         first_date = start,
                         last_date = end)
data<-data[complete.cases(data),] 
p<-ggplot(data, aes(ref_date , price_close, group=ticker , color=ticker))+
        geom_line() +
        labs(x = "",
             y='Closing prices', 
             title="Two assets returns", 
             subtitle = "Begin 01/01/2010") +   theme_solarized()
ggplotly(p)
Python
import yfinance as yf
import pandas as pd
import matplotlib.pyplot as plt
import numpy as np
import seaborn as sns
from scipy.stats import norm
stocks = ['BBDC3.SA', 'PETR3.SA']
start = '2010-01-01'
end = pd.Timestamp.today().strftime('%Y-%m-%d')
data = yf.download(stocks, start=start, end=end)['Close']
data = data.dropna()
# plot the data
plt.close()
plt.plot(data.index, data['BBDC3.SA'], label='BBDC3.SA')
plt.plot(data.index, data['PETR3.SA'], label='PETR3.SA')
# add title and axis labels
plt.title('Two assets returns')
plt.xlabel('Date')
plt.ylabel('Closing prices')
# add legend
plt.legend()
# display the plot
plt.show()

Same graph using prices in day 1 = $100.

R
stock1 <- subset(data, ticker == stocks[1])
stock2 <- subset(data, ticker == stocks[2])
stock1$price_close2 <- stock1$price_close  / stock1$price_close[1] * 100
stock2$price_close2 <- stock2$price_close  / stock2$price_close[1] * 100
p<-ggplot(stock1, aes(ref_date , price_close2, color=ticker))+
        geom_line() +
        geom_line(data=stock2) +
        labs(x = "",
             y='Closing prices', 
             title="Two assets returns, Initial price = 100", 
             subtitle = "Begin 01/01/2010") +   theme_solarized()
ggplotly(p)
Python
plt.close()
stock1 = data[stocks[0]]
stock2 = data[stocks[1]]
stock1 = (stock1 / stock1.iloc[0]) * 100
stock2 = (stock2 / stock2.iloc[0]) * 100
fig, ax = plt.subplots()
ax.plot(stock1.index, stock1.values, label=stocks[0])
ax.plot(stock2.index, stock2.values, label=stocks[1])
ax.set_ylabel('Price')
ax.set_title('Two assets returns, Initial price = 100')
ax.legend()
plt.show()

Let’s compute the average return of a portfolio with 40% invested in A and 60% in B. The portfolio return is the average return of the assets.

R
# Defining weights and calculating portfolio return (daily)
w <- c(0.40, 0.60)
# Creating a df with stocks and weights
w_tbl <- tibble(ticker = stocks,w = w)
# Including the weights in the df prices (which contains the prices)
prices  <- left_join(data ,w_tbl, by = 'ticker')
# calculating the product of return times the portfolio weights for all days (this is necessary to calculate average return)
prices$w_ret <- prices$ret_closing_prices * prices$w
# Creating a dataframe with portfolio returns 
port_ret <- prices %>%
  group_by(ref_date) %>%
  summarise(port_ret = sum(w_ret))
# Creating prices from the vector of returns
port_ret$price_close2 <- cumprod(1+port_ret$port_ret) * 100
# Graph with all returns
port_ret$ticker <- 'Portfolio'
p <- ggplot(stock1, aes(ref_date , price_close2, color = ticker))+
        geom_line() +geom_line(data=stock2) +geom_line(data=port_ret) +
        labs(x = "",
             y='Closing prices', 
             title="Two assets and Portfolio returns, Initial price = 100", 
             subtitle = "Begin 01/01/2010") +   theme_solarized()
ggplotly(p)
Python
plt.close()
w = [0.40, 0.60]
# Calculate the weighted returns for each stock
returns = data.pct_change().dropna()
weighted_returns = returns.mul(w, axis=1)
# Calculate the portfolio returns by taking the sum of the weighted returns
portfolio_returns = weighted_returns.sum(axis=1)
# Calculate the cumulative returns for each series
stock_returns_cum = (1 + returns).cumprod() * 100
portfolio_returns_cum = (1 + portfolio_returns).cumprod() * 100
# Plot the results
fig, ax = plt.subplots(figsize=(12, 6))
ax.plot(stock_returns_cum)
ax.plot(portfolio_returns_cum, label='Portfolio')
ax.set(title='Two assets and Portfolio returns, Initial price = 100', xlabel='', ylabel='Closing prices')
ax.legend()
plt.show()

11.2 Volatility of a 2-stock portfolio

Covariance and Correlation

If you don’t remember how to calculate manually the correlation, please take a look at the notes of your statistics lectures.

11.3 Volatility of a large portfolio

11.3 Volatility of a large portfolio

11.3 Volatility of a large portfolio

The variance of a three-asset portfolio can be built using a previous slide…

\[var = (x_1^2 \times \sigma_1^2) + (x_2^2 \times \sigma_2^2) + 2(x_1 \times x_2 \times \sigma_1 \times \sigma_2 \times \rho_{12})\]

… plus the following terms.

\[+ (x_3^2 \times \sigma_3^2) + 2(x_1 \times x_3 \times \sigma_1 \times \sigma_3 \times \rho_{13}) + 2(x_2 \times x_3 \times \sigma_2 \times \sigma_3 \times \rho_{23})\]

11.3 Volatility of a large portfolio

Note in the previous figure: as the number N of assets increases, the number of terms outside the main diagonal increases more than the main diagonal.

Therefore, the variance of a well-diversified portfolio mostly contains covariances.

For a portfolio with equal weights to all assets, We can write that:

\[Var(R_p) = \frac{1}{N} \times average\;variance + (1-\frac{1}{N}) \times average \; covariance\]

As N grows to infinite, only the average covariance lasts.

11.3 Volatility of a large portfolio

So, if you increase the size of your portfolio, the risk decreases (until to a certain amount).

Usually, you can diversify about half of the initial variance.

11.3 Volatility of a large portfolio

R
start <-'2015-01-01' 
end   <-'2023-12-01'
# Finding the tickers
data_temp <- yf_collection_get("IBOV", first_date = start, last_date = end, freq_data = "monthly")
tickers<-unique(data_temp$ticker)
df <- data_temp %>%  select(ref_date)  %>% distinct()
# Now collecting data
for (i in 1:length(tickers)) {
data <- yf_get(tickers[[i]],first_date = start,last_date = end,freq_data = "monthly")
data <- data[complete.cases(data),] 
data <- data %>%  select(ref_date, ret_closing_prices)
colnames(data) <- c("ref_date",  tickers[[i]]  )
df <- merge(df,data,by="ref_date")
}
df$ref_date <- NULL
# Setup to randomly combine "j" stocks and compute the standard deviation of this combination
rows <- 1000
final <- data.frame(matrix(NA,nrow = rows, ncol = length(tickers)))
for (j in 1:length(tickers) ) {
for (i in 1:rows ) {
df_r <- as.data.frame(df[, sample(  ncol(df) , j )])
cov <- cov(df_r)
# Var mean
var <- as.data.frame(diag(cov))
var_mean <- mean(var$`diag(cov)`)
  #Covariance mean
  if (j == 1) {
  covar_mean <- var_mean
  } else {
  covar <- cov
  diag(covar)=NA 
  covar[upper.tri(covar)] <- NA
  covar<-c(covar)
  covar_mean<- mean(covar,na.rm=TRUE)
  }
# Port Sd.
var_p <- (  (1/ j  * var_mean )   + (1- (1/j ) ) * covar_mean    ) ^ 0.5
final[i,j] <- var_p
}
}
# Computing the average of the "i" portfolios with "j" stocks 
sd   <- as.data.frame(colMeans(final))
sd$N  <- seq_along(sd[,1])
p<- ggplot(sd, aes(y=`colMeans(final)` , x = N)) + geom_line() +
        labs(x = "Number of stocks (equal weight)",
             y='Standard deviation (monthly)', 
             title="Standard deviation of equally weighted portfolios", 
             subtitle = "01/01/2015-today (Brazilian stocks)") +   theme_solarized()
ggplotly(p)
Python
start = '2015-01-01'
end = pd.Timestamp.now()
stocks = ["ABEV3.SA","ALPA4.SA","AMER3.SA","B3SA3.SA","BBAS3.SA","BBDC3.SA","BBDC4.SA","BEEF3.SA","BPAN4.SA","BRAP4.SA","BRFS3.SA","BRKM5.SA","BRML3.SA","CCRO3.SA","CIEL3.SA","CMIG4.SA","COGN3.SA","CPFE3.SA","CPLE6.SA","CSAN3.SA","CSNA3.SA","CYRE3.SA","DXCO3.SA","ECOR3.SA","EGIE3.SA","ELET3.SA","ELET6.SA","EMBR3.SA","ENBR3.SA","ENEV3.SA","ENGI11.SA","EQTL3.SA","EZTC3.SA","FLRY3.SA","GGBR4.SA","GOAU4.SA","GOLL4.SA","HYPE3.SA","ITSA4.SA","ITUB4.SA","JBSS3.SA","JHSF3.SA","LREN3.SA","MGLU3.SA","MRFG3.SA","MRVE3.SA","MULT3.SA","PCAR3.SA","PETR3.SA","PETR4.SA","PRIO3.SA","QUAL3.SA","RADL3.SA","RENT3.SA","SANB11.SA","SBSP3.SA","SULA11.SA","SUZB3.SA","TAEE11.SA","TIMS3.SA","TOTS3.SA","UGPA3.SA","USIM5.SA","VALE3.SA","VIIA3.SA","VIVT3.SA","WEGE3.SA","YDUQ3.SA"]
data_temp = yf.download(stocks,start=start,end=end,interval='1mo', group_by='ticker')
df = data_temp.loc[:, (slice(None), 'Adj Close')].droplevel(level=1, axis=1)
df = df.pct_change()
rows = 1000
final = pd.DataFrame(np.empty((rows, len(data_temp))) * np.nan)
for j in range(len(stocks)):
    for i in range(rows):
        df_r = df.iloc[:, np.random.choice(df.shape[1], j+1, replace=False)]
        cov = df_r.cov()
        var = pd.DataFrame(np.diag(cov))
        var_mean = var.mean().item()
        if j == 0:
            covar_mean = var_mean
        else:
            covar = cov.copy()
            np.fill_diagonal(covar.values, np.nan)
            covar = covar.where(np.triu(np.ones(covar.shape)).astype(np.bool_))
            covar_mean = covar.stack().mean()
        var_p = ((1/(j+1) * var_mean) + (1 - 1/(j+1)) * covar_mean) ** 0.5
        final.iloc[i, j] = var_p
# Computing the average of the "i" portfolios with "j" stocks 
sd = final.mean(axis=0).reset_index()
sd = sd.rename(columns={'index': 'N', 0: 'colMeans(final)'})
sd['N'] = sd['N'] + 1

plt.close()
plt.plot(sd['N'], sd['colMeans(final)'])
plt.xlabel('Number of stocks (equal weight)')
plt.ylabel('Standard deviation (monthly)')
plt.title('Standard deviation of equally weighted portfolios')
plt.suptitle('01/01/2015-today (Brazilian stocks)')
plt.show()

11.3 Volatility of a large portfolio

You can also write that

\[Var(R_p) = \sum_i x_i \times Cov(R_i,R_p)\]

This equation indicates that the variance of a portfolio is equal to the weighted average covariance of each stock with the portfolio.

This expression reveals that the risk of a portfolio depends on how each stock’s return moves in relation to it.

Additionally, notice that stocks can have different weights in this equation (the previous example assumed equal weights).

11.3 Volatility of a large portfolio

Final equation

The equation in the previous slide can also be written as (remember that \(Cov = sd \times sd \times corr\)):

\[Var(R_p) = \sum_i x_i \times Sd(R_i) \times Sd(R_p) \times Corr(R_i,R_p)\]

If we divide both sides of this equation by \(Sd(R_p)\), we find:

\[Sd(R_p) = \sum_i x_i \times Sd(R_i) \times Corr(R_i,R_p)\]

This equation shows the amount of risk that each security brings to portfolio.

Each asset i contributes to the portfolio’s volatility according to its Sd scaled by its correlation with the portfolio.

Keep this equation in mind, we will use it in the future.

11.3 Volatility of a large portfolio

More about correlation.

R
corr12 = -0.50
ret1 = 0.175
sd1 = 0.258
var1 = sd1^2
ret2 = 0.055
sd2 = 0.115
var2 = sd2^2
covar12 = corr12*sd1*sd2
w1 = seq(from=-0.4, to=1.4, by=0.05)
w2 = 1 - w1
retp = w1*ret1 + w2*ret2
varp = w1^2 * var1 + w2^2 * var2 + 2*w1*w2*covar12
sdp = sqrt(varp)
port.names = paste("portfolio", 1:length(w1), sep=" ")
df <- data.frame(port.names, w1, w2, retp, sdp)
df <- df %>%  mutate(Condition = case_when(w1<0 ~ "W1<0" , w1>1 ~ "W1>1"  , 0<w1 | w1<1 ~ "0<w1<1" ))
d1 <- df[df$w1 == 1, ]
d2 <- df[df$w2 == 1, ]
p<-ggplot(df, aes(sdp, retp, color= Condition) ) + 
        geom_point(size=3)  +
        labs(x = "Standard deviation",y='Expected return') +
        xlim(0, max(sdp)) + ylim(0, max(retp) ) +
      geom_text(data = d1, aes(x=sd1+0.01, y=ret1-0.01, label = "Asset 1") , color = "black", hjust=0.2, vjust=0.75, size=4) +
      geom_text(data = d2, aes(x=sd2-0.02, y=ret2-0.01, label = "Asset 2") , color = "black", hjust=0.1, vjust=0.75, size=4) +
      ggtitle(paste("Correlation = " , corr12)) +theme_solarized()
ggplotly(p)
Python
#data
corr12 = -0.50
ret1 = 0.175
sd1 = 0.258
var1 = sd1**2
ret2 = 0.055
sd2 = 0.115
var2 = sd2**2
covar12 = corr12*sd1*sd2
#weight 
w1 = np.arange(-0.4, 1.4, 0.05)
w2 = 1 - w1
retp = w1*ret1 + w2*ret2
varp = w1**2 * var1 + w2**2 * var2 + 2*w1*w2*covar12
sdp = np.sqrt(varp)
port_names = ["portfolio" + str(i+1) for i in range(len(w1))]
df = pd.DataFrame({'port.names': port_names, 'w1': w1, 'w2': w2, 'retp': retp, 'sdp': sdp})
df['Condition'] = np.select(  [df['w1']<0, df['w1']>1, (df['w1']>0) & (df['w1']<1)], ['green', 'blue', 'red'])
#Conditions to graph
d1 = df[df['w1'] == 1]
d2 = df[df['w2'] == 1]
#Graph
plt.close()
fig, ax = plt.subplots()
ax.scatter(df['sdp'], df['retp'], c=df['Condition'], cmap='viridis')
ax.set(xlabel='Standard deviation', ylabel='Expected return', xlim=(0, max(sdp)), ylim=(0, max(retp)))
ax.set_title("Correlation = {}".format(corr12))
ax.text(sd1+0.005,ret1-0.005, 'Asset 1', color='black', ha='left', va='center', fontsize=10)
ax.text(sd2+0.005,ret2+0.005, 'Asset 2', color='black', ha='left', va='center', fontsize=10)
plt.show()

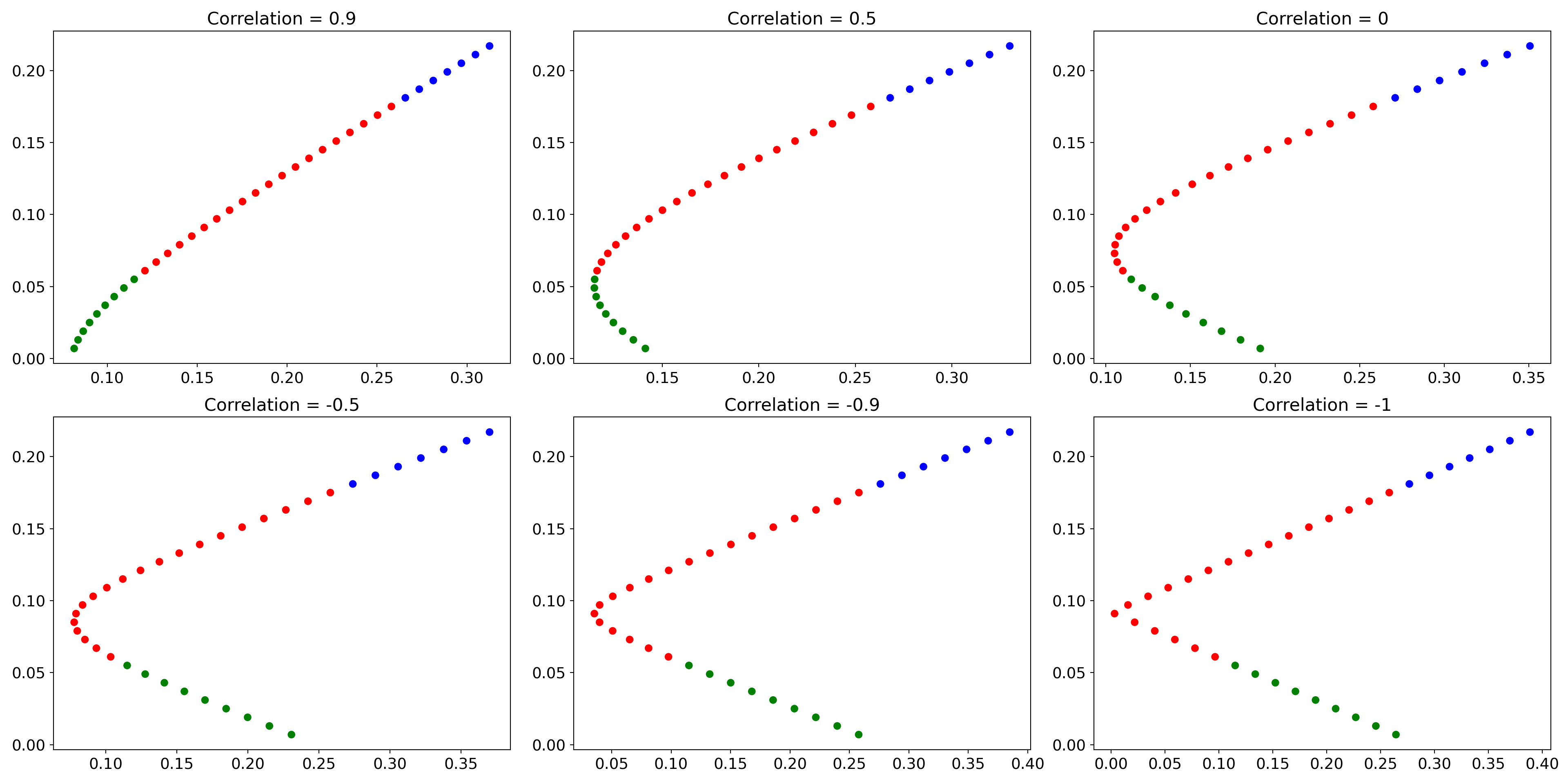
11.3 Volatility of a large portfolio

R
library(ggpubr)
library(dplyr)
# Create a vector of correlation values to loop through
corrs <- c(0.9, 0.5, 0, -0.5, -0.9, - 1)
# Initialize an empty list to store plots
plot_list <- list()
# Loop through each correlation value and create a plot
for (corr12 in corrs) {
  ret1 <- 0.175
  sd1 <- 0.258
  var1 <- sd1^2
  ret2 <- 0.055
  sd2 <- 0.115
  var2 <- sd2^2
  covar12 <- corr12*sd1*sd2
  w1 <- seq(from=-0.4, to=1.4, by=0.05)
  w2 <- 1 - w1
  retp <- w1*ret1 + w2*ret2
  varp <- w1^2 * var1 + w2^2 * var2 + 2*w1*w2*covar12
  sdp <- sqrt(varp)
  port.names <- paste("portfolio", 1:length(w1), sep=" ")
  df <- data.frame(port.names, w1, w2, retp, sdp)
  df <- df %>%  mutate(Condition = case_when(w1<0 ~ "W1<0" , w1>1 ~ "W1>1"  , 0<w1 | w1<1 ~ "0<w1<1" ))
  d1 <- df[df$w1 == 1, ]
  d2 <- df[df$w2 == 1, ]
  plot <- ggplot(df, aes(sdp, retp, color= Condition) ) + 
    geom_point(size=2) +
    labs(x = "",y="")+
    xlim(0, max(sdp)) + ylim(0, max(retp)) +
    theme(legend.position = "none") +
    theme()+
    ggtitle(paste("Correlation = " , corr12))
  plot_list[[length(plot_list) + 1]] <- plot
}
# Arrange the plots in a 3x2 grid using ggarrange
ggarrange(plot_list[[1]], plot_list[[2]], plot_list[[3]],
          plot_list[[4]], plot_list[[5]], plot_list[[6]],
          nrow = 3, ncol = 2)

Python
#data
ret1 = 0.175
sd1 = 0.258
var1 = sd1**2
ret2 = 0.055
sd2 = 0.115
var2 = sd2**2
#weight 
w1 = np.arange(-0.4, 1.4, 0.05)
w2 = 1 - w1
# create a list of correlation values
corr_values = [0.9, 0.5, 0, -0.5, -0.9, -1]
plt.close()
# create a 2x3 grid of subplots
fig, axs = plt.subplots(2, 3, figsize=(20, 10))
# loop through each correlation value and plot the corresponding scatter plot
for i, corr12 in enumerate(corr_values):
    covar12 = corr12*sd1*sd2
    retp = w1*ret1 + w2*ret2
    varp = w1**2 * var1 + w2**2 * var2 + 2*w1*w2*covar12
    sdp = np.sqrt(varp)
    port_names = ["portfolio" + str(i+1) for i in range(len(w1))]
    df = pd.DataFrame({'port.names': port_names, 'w1': w1, 'w2': w2, 'retp': retp, 'sdp': sdp})
    df['Condition'] = np.select([df['w1']<0, df['w1']>1, (df['w1']>0) & (df['w1']<1)], ['green', 'blue', 'red'])
    d1 = df[df['w1'] == 1]
    d2 = df[df['w2'] == 1]
    ax = axs[i//3, i%3]  
    ax.scatter(df['sdp'], df['retp'], c=df['Condition'], cmap='viridis')
#    ax.set(xlabel='Standard deviation', ylabel='Expected return', xlim=(0, max(sdp)), ylim=(0, max(retp)))
    ax.set_title("Correlation = {}".format(corr12), fontsize=16)
    ax.tick_params(labelsize=14)
#    ax.set_xlabel('Standard deviation', fontsize=16)
#    ax.set_ylabel('Expected return', fontsize=20)
plt.tight_layout()  # adjust spacing between subplots
plt.show()

11.3 Volatility of a large portfolio

More about correlation

In these graphs, I am assuming that you can invest a negative amount in a stock. This is called a short position. When you buy, you have a long position.

Short sales are usually allowed if you provide enough security and collateral to the market.

The idea is that you think that a stock’s price will go down so you sell it. Later, you buy it back (but if the price goes up, you lose part of your investment).

Notice that if you can short sale, you amplify the pairs return-risk available.

11.3 Volatility of a large portfolio

Correlations usually positive.

R
stocks <-c("ITUB3.SA", "WEGE3.SA", "PETR3.SA", "VALE3.SA", "ITSA3.SA" , "BBAS3.SA", "ABEV3.SA", "GGBR4.SA", "LREN3.SA", "B3SA3.SA", "UGPA3.SA", "CSMG3.SA", "HYPE3.SA") 
start <-'2010-01-01' 
end   <- Sys.Date() 
df <- yf_get(tickers = stocks[[1]], 
                         first_date = start,
                         last_date = end,
                         freq_data = "monthly")
df <- df %>%  select(ref_date)

for (i in 1:length(stocks)) {
data <- yf_get(tickers = stocks[[i]], 
                         first_date = start,
                         last_date = end,
                         freq_data = "monthly")
data<-data[complete.cases(data),] 
data<- data %>%  select(ref_date, ret_adjusted_prices)
colnames(data) <- c("ref_date",  stocks[[i]]  )
df <- merge(df,data,by="ref_date")
}
df$ref_date <-NULL
cor<- cor(df, method = c("pearson"))
library(corrplot)
corrplot(cor,method = 'number' ,  tl.col = "black",   tl.cex = 0.9,  col = COL1('Reds') , number.cex = 0.8)

Python
stocks = ["ITUB3.SA", "WEGE3.SA", "PETR3.SA", "VALE3.SA", "ITSA3.SA", "BBAS3.SA", "ABEV3.SA", "GGBR4.SA", "LREN3.SA", "B3SA3.SA", "UGPA3.SA", "CSMG3.SA", "HYPE3.SA"]
start = '2010-01-01'
end = pd.Timestamp.now()
df = yf.download(stocks[0], start=start, end=end, interval="1mo")[["Adj Close"]]
df.columns = [stocks[0]]
for stock in stocks[1:]:
    data = yf.download(stock, start=start, end=end, interval="1mo")[["Adj Close"]]
    data.columns = [stock]
    df = df.merge(data, how="inner", on="Date")
df = df.ffill()  # forward-fill missing values
cor = df.corr(method="pearson")
sns.heatmap(cor, annot=True, fmt=".2f", cmap="Reds", annot_kws={"fontsize":20})

11.4 Choosing an Efficient Portfolio

11.4 Choosing an Efficient Portfolio

Now, you can understand what an efficient portfolio is.

  • It is the portfolio that brings the higher return for any given level of risk
  • or a portfolio that brings the lower risk for any given return.

11.4 Choosing an Efficient Portfolio

R
corr12 = -0.164
ret1 = 0.175
sd1 = 0.258
var1 = sd1^2
ret2 = 0.055
sd2 = 0.115
var2 = sd2^2
covar12 = corr12*sd1*sd2
w1 = seq(from=-0.4, to=1.4, by=0.01)
w2 = 1 - w1
retp = w1*ret1 + w2*ret2
varp = w1^2 * var1 + w2^2 * var2 + 2*w1*w2*covar12
sdp = sqrt(varp)
port.names = paste("portfolio", 1:length(w1), sep=" ")
df <- data.frame(port.names, w1, w2, retp, sdp)
w1_min = round((var2 - covar12)/(var1 + var2 - 2*covar12), digits = 1)
w2_min = 1 - w1_min
d_min <- df[w2_min <= df$w2, ]
d_min <- data.frame(d_min[ nrow(d_min) ,])
df <- df %>%  mutate(Efficient = case_when(w2<=w2_min ~ "Efficient" , w2>w2_min ~ "Not Efficient" ))
p<-ggplot(df, aes(sdp, retp, color = Efficient) ) + 
        geom_point(size=1)  +
        labs(x = "Standard deviation",y='Expected return') +
        xlim(0, max(sdp)) + ylim(0, max(retp) ) +
      geom_text(data = d_min, aes(x=sd1+0.01, y=ret1-0.01, label = "Asset 1") , hjust = -0.1, color = "black", size=4)  +   
      geom_text(data = d_min, aes(x=sd2-0.02, y=ret2-0.01, label = "Asset 2") , hjust = -0.1, color = "black", size=4)  +   
      geom_text(data = d_min, aes(x=sdp+0.06, y=retp, label = "Minimum variance portfolio") , hjust = -0.1, color = "black", size=4)  +   
      theme_solarized()
ggplotly(p)
Python
# Set up variables
corr12 = -0.164
ret1 = 0.175
sd1 = 0.258
var1 = sd1**2
ret2 = 0.055
sd2 = 0.115
var2 = sd2**2
covar12 = corr12*sd1*sd2
w1 = np.arange(-0.4, 1.41, 0.01)
w2 = 1 - w1
retp = w1*ret1 + w2*ret2
varp = w1**2 * var1 + w2**2 * var2 + 2*w1*w2*covar12
sdp = np.sqrt(varp)
port_names = [f"portfolio {i+1}" for i in range(len(w1))]
data = {'port_names': port_names, 'w1': w1, 'w2': w2, 'retp': retp, 'sdp': sdp}
df = pd.DataFrame(data)
w1_min = round((var2 - covar12)/(var1 + var2 - 2*covar12), 1)
w2_min = 1 - w1_min
d_min = df.loc[df['w2'] >= w2_min, :]
d_min = pd.DataFrame(d_min.iloc[-1, :]).T
df['Efficient'] = np.where(df['w2'] <= w2_min, 'Efficient', 'Not Efficient')
# Plotting
fig, ax = plt.subplots(figsize=(20, 10))
colors = {'Efficient': '#dc322f', 'Not Efficient': '#2aa198'}
for label, color in colors.items():
    mask = df['Efficient'] == label
    ax.scatter(df.loc[mask, 'sdp'], df.loc[mask, 'retp'], c=color, label=label, alpha=0.7, s=50)
ax.set_xlabel('Standard deviation', fontsize=25)
ax.set_ylabel('Expected return', fontsize=25)
ax.set_xlim(0, max(sdp))
ax.set_ylim(0, max(retp))
ax.text(sd1+0.01,ret1, 'Asset 1', color='black', ha='left', va='center', fontsize=20)
ax.text(sd2+0.01,ret2, 'Asset 2', color='black', ha='left', va='center', fontsize=20)
ax.text(sd2-0.01,ret2+0.02, 'Minimum Variance Portfolio', color='black', ha='left', va='center', fontsize=20)
ax.legend(fontsize=20)
ax.tick_params(axis='both', which='major', labelsize=20, color='#839496', length=8, width=1.5)
plt.grid(color='#657b83', linestyle='--', linewidth=0.5, alpha=0.5)
plt.show()

11.4 Choosing an Efficient Portfolio

Example with real data

R
library(yfR)
library(kableExtra)
start <-'2010-01-01' 
end   <-Sys.Date()  
freq_data <-  'monthly'
ticker1 <- 'BBDC3.SA'
ticker2 <- 'PETR3.SA'
asset1 <- yf_get(tickers = ticker1, first_date = start,last_date = end,freq_data = freq_data)
asset2 <- yf_get(tickers = ticker2, first_date = start,last_date = end,freq_data = freq_data)
asset1<-asset1[complete.cases(asset1),] 
asset2<-asset2[complete.cases(asset2),] 
er_1 <- mean(asset1$ret_adjusted_prices) 
er_2 <- mean(asset2$ret_adjusted_prices)
sd_1 <- sd(asset1$ret_adjusted_prices) 
sd_2 <- sd(asset2$ret_adjusted_prices) 
table <- data.frame("Ticker" = c(ticker1 , ticker2), 
                 "ER" = c(er_1* 100 , er_2* 100), 
                 "SD" = c(sd_1* 100, sd_2* 100)) 
kable(table,col.names = c("Ticker", "Expected Return", "Standard Deviation"), 
            align = c("l", "r", "r"), 
            format.args = list(big.mark = ",", decimal.mark = ".", scientific = FALSE), 
            caption = "Summary statistics (monthly returns since 2010)") %>%
  kable_styling(bootstrap_options = "striped")
Summary statistics (monthly returns since 2010)
Ticker Expected Return Standard Deviation
BBDC3.SA 1.065350 8.82887
PETR3.SA 1.481108 12.75501
R
p<-ggplot(table, aes(x = SD, y = ER, color = Ticker)) +
      geom_point(size = 4) +
      theme_bw() + 
      ggtitle("Risk-Return Tradeoff, 2010 to 2023.") +
      xlab("Standard deviation") + ylab("Expected Return") +
      scale_y_continuous( limits = c(min(table$ER)*0.95, max(table$ER)*1.05)) +
      scale_x_continuous( limits = c(min(table$SD)*0.95, max(table$SD)*1.05))+   theme_solarized()
ggplotly(p)

11.4 Choosing an Efficient Portfolio

R
library(data.table)
cov_12 <- cov(asset1$ret_adjusted_prices, asset2$ret_adjusted_prices)
corr_12 <- cor(asset1$ret_adjusted_prices, asset2$ret_adjusted_prices)
weights <- seq(from = 0, to = 1, length.out = 1000)
two_assets <- data.table(w1 = weights ,w2 = 1 - weights)
# calculate the expected returns and standard deviations for the 1000 possible portfolios
two_assets[, ':=' (er_p = w1 * er_1 + w2 * er_2,
                   sd_p = sqrt(w1^2 * sd_1^2 +w2^2 * sd_2^2 +2 * w1 * w2 * cov_12))]
p<-ggplot() +
geom_point(data = two_assets, aes(x = sd_p, y = er_p, color = w1)) +
geom_point(data = data.table(sd = c(sd_1, sd_2), mean = c(er_1, er_2)),
aes(x = sd, y = mean), color = "red", size = 3, shape = 18) +
theme_bw() + ggtitle("Possible Portfolios with Two Risky Assets") +
xlab("Standard deviation") + ylab("Expected Return") +
      scale_y_continuous( limits = c(min(two_assets$er_p)*0.99, max(two_assets$er_p)*1.01)) +
      scale_x_continuous( limits = c(min(two_assets$sd_p)*0.9, max(two_assets$sd_p)*1.1)) +   theme_solarized() +scale_color_continuous(name = "W. Asset 1")
ggplotly(p)
Python
start = '2010-01-01'
end = pd.to_datetime('today')
freq_data = '1mo'
ticker1 = 'BBDC3.SA'
ticker2 = 'PETR3.SA'
asset1 = yf.download(ticker1, start=start, end=end, interval=freq_data)['Adj Close']
asset2 = yf.download(ticker2, start=start, end=end, interval=freq_data)['Adj Close']
asset1 = asset1.dropna()
asset2 = asset2.dropna()
er_1 = np.mean(asset1.pct_change().dropna()) * 12
er_2 = np.mean(asset2.pct_change().dropna()) * 12
sd_1 = np.std(asset1.pct_change().dropna()) * np.sqrt(12)
sd_2 = np.std(asset2.pct_change().dropna()) * np.sqrt(12)
cov_12 = np.cov(asset1.pct_change().dropna(), asset2.pct_change().dropna())[0, 1]
corr_12 = np.corrcoef(asset1.pct_change().dropna(), asset2.pct_change().dropna())[0, 1]
weights = np.linspace(0, 1, 1000)
two_assets = pd.DataFrame({'w1': weights, 'w2': 1 - weights})
two_assets['er_p'] = two_assets['w1'] * er_1 + two_assets['w2'] * er_2
two_assets['sd_p'] = np.sqrt(two_assets['w1']**2 * sd_1**2 + two_assets['w2']**2 * sd_2**2 + 2 * two_assets['w1'] * two_assets['w2'] * cov_12)
plt.close()
plt.figure(figsize=(20,10))
plt.scatter(two_assets['sd_p'], two_assets['er_p'], c=two_assets['w1'])
plt.scatter(sd_1, er_1, color='red', marker='s', s=100)
plt.scatter(sd_2, er_2, color='red', marker='s', s=100)
plt.title('Possible Portfolios with Two Risky Assets',fontsize=25)
plt.xlabel('Standard deviation',fontsize=22)
plt.ylabel('Expected Return',fontsize=22)
plt.xlim(min(two_assets['sd_p']) * 0.9, max(two_assets['sd_p']) * 1.1)
plt.ylim(min(two_assets['er_p']) * 0.99, max(two_assets['er_p']) * 1.01)
plt.colorbar(label=r'$Weight\;Asset\;1$')
ax.tick_params(axis='both', which='major', labelsize=18)
plt.show()

11.4 Choosing an Efficient Portfolio

As a financial manager, one crucial job you have is to find the efficient portfolios and the minimum variance portfolio.

11.4 Choosing an Efficient Portfolio

If you add stocks you improve the frontier

When you combine several assets, you will have what is called efficient frontier.

11.4 Choosing an Efficient Portfolio

The frontier is not so clear here

R
start <-'2010-01-01' 
end   <- '2023-01-01'
freq_data <- "yearly"
df <- yf_collection_get("IBOV", 
                         first_date = start,
                         last_date = end,
                         freq_data = freq_data)
Error in df_ibov_comp[[1]] : índice fora de limites
R
stocks <- unique(df$ticker)
df <- df %>%  select(ref_date)

for (i in 1:length(stocks)) {
data <- yf_get(tickers = stocks[[i]], 
                         first_date = start,
                         last_date = end,
                         freq_data = freq_data)
data<-data[complete.cases(data),] 
data<- data %>%  select(ref_date, ret_closing_prices)
colnames(data) <- c("ref_date",  stocks[[i]]  )
df <- merge(df,data,by="ref_date")
}

dup <- duplicated(df)
df <- unique(df[!dup,])

df$ref_date <-NULL
ret <- as.vector(colMeans(df))
cov <- cov(df)

# Random numbers to create the frontier
set.seed(100)
int <- 10000
w<- data.frame((replicate(length(stocks),sample(int,rep=TRUE)) / int ))
w$sum <-  rowSums(w)
colnames(w) <- c(stocks, 'Sum')
for (i in 1:int) {
w[i, 1:length(stocks)] <- w[i, 1:length(stocks)] / w[i, ncol(w)]
}

w$Sum <- NULL
# creating final dataframe
port <- data.frame(matrix(NA,nrow = int,ncol = 2))
colnames(port) <- c("Return", "Sd")
for (i in 1:int) {
port[i,1] <- sum(  w[i, ] * ret)
port[i,2] <- sqrt( as.matrix(w[i, ]) %*% as.matrix(cov) %*% as.matrix(t(w[i, ]) )) 
}
#ggplot
p<-ggplot(port, aes(x=Sd, y=Return)) +
        geom_point(alpha=0.2) +
        theme_solarized() + 
        xlab("Standard deviation") + ylab("Expected Return") + 
        labs(title = paste(int , "random portfolios - All Ibov (2010-2023, yearly returns)") )
ggplotly(p)

11.5 Risk-Free Saving and Borrowing

11.5 Risk-Free Saving and Borrowing

Thus far, we have considered the risk and return possibilities that result from combining risky investments into portfolios.

By including all risky investments in the construction of the efficient frontier, we achieve the maximum diversification possible with risky assets.

Now, let’s see what happens when you combine a portfolio of risky assets with the risk free asset.

11.5 Risk-Free Saving and Borrowing

The return is:

\[E[R_{px}] = x \times E[R_p] + (1-x) \times R_f \]

\(x\) is the weight invested in the portfolio:

Which leads to:

\[E[R_{px}] = x \times E[R_p] + R_f - x \times R_f \]

\[E[R_{px}] = R_f + x \times ( E[R_p] - R_f ) \]

The second equation shows that: The expected return is equal to the risk-free rate plus a fraction of the portfolio’s risk premium, \(E[R_p] - R_f\), based on the fraction x that we invest in it.

11.5 Risk-Free Saving and Borrowing

Remember that the risk free rate is assumed to have no risk, thus no variance. The standard deviation is:

  • \[Sd(R_{px}) = \sqrt{(1-x)^2 \times Var(R_f) + x^2 \times Var(R_p) + 2 \times(1-x) \times x \times Cov(R_f, R_p)}\]

Which leads to

\[Sd(R_{px}) = \sqrt{x^2 \times Var(R_p)}\]

\[Sd(R_{px}) = x \times Sd(R_p)\]

That is, the volatility is only a fraction of the volatility of the portfolio, based on the amount we invest in it.

11.5 Risk-Free Saving and Borrowing

Combine an asset with the Rf rate

R
ret1 = 0.175
sd1 = 0.258
var1 = sd1^2
ret2 = 0.055
sd2 = 0.115
var2 = sd2^2
rf = 0.03
#asset 1
w1    = seq(from=0, to=1.4, by=0.01)
wrf1   = 1 - w1
retp1 = wrf1 * rf + w1 * ret1
sdp1  = w1*sd1
#asset2 
w2    = seq(from=0, to=1.4, by=0.02)
wrf2   = 1 - w2
retp2 = wrf2 * rf + w2 * ret2
sdp2  = w2*sd2
#dfs
df1 <- data.frame(w1, retp1, sdp1)
df2 <- data.frame(w2, retp2, sdp2)
d1 <- df1[df1$w1 == 1, ]
d2 <- df2[df2$w2 == 1, ]
#ggplot
p<-ggplot() +  
  geom_point(data=df1, aes(x=sdp1, y=retp1, color=ifelse(w1>1,"blue","lightblue")), size=1, show.legend = FALSE) +
  geom_point(data=df2, aes(x=sdp2, y=retp2, color=ifelse(w2>1,"red","pink")), size=1, show.legend = FALSE) +
  labs(x = "Standard deviation",y='Expected return', title = "Risk and Return of two assets combined with the Risk-Free Rate" ) +
  xlim(0, max(sdp1)) + ylim(0, max(retp1) ) +
  geom_text(data = d1, aes(x=sdp1, y=retp1-0.01, label = "Asset 1") , color = "black", hjust=0.2, vjust=0.75, size=4) +
  geom_text(data = d2, aes(x=sdp2, y=retp2-0.01, label = "Asset 2") , color = "black", hjust=0.1, vjust=0.75, size=4) +
  geom_text(data = as.data.frame(rf), aes(x=0.02, y=rf-0.01, label = "Risk-free") , color = "black", hjust=-0.2, vjust=0.75, size=4) +   
  scale_color_identity() + 
  theme_solarized()
ggplotly(p)
Python
plt.close()
ret1 = 0.175
sd1 = 0.258
var1 = sd1**2
ret2 = 0.055
sd2 = 0.115
var2 = sd2**2
rf = 0.03
#asset 1
w1 = np.arange(0, 1.4, 0.01)
wrf1 = 1 - w1
retp1 = wrf1 * rf + w1 * ret1
sdp1 = w1 * sd1
#asset2 
w2 = np.arange(0, 1.4, 0.02)
wrf2 = 1 - w2
retp2 = wrf2 * rf + w2 * ret2
sdp2 = w2 * sd2
#dfs
df1 = np.column_stack((w1, retp1, sdp1))
df2 = np.column_stack((w2, retp2, sdp2))
d1 = df1[df1[:, 0] == 1, :]
d2 = df2[df2[:, 0] == 1, :]
#plot
plt.figure(figsize=(10, 6))
plt.scatter(sdp1, retp1, c=np.where(w1>1, 'blue', 'lightblue'), s=15, edgecolors='none')
plt.scatter(sdp2, retp2, c=np.where(w2>1, 'red', 'pink'), s=15, edgecolors='none')
plt.plot(d1[0, 2], d1[0, 1], 'ko', markersize=5)
plt.plot(d2[0, 2], d2[0, 1], 'ko', markersize=5)
plt.annotate('Asset 1', xy=(d1[0, 2], d1[0, 1]), xytext=(d1[0, 2], d1[0, 1]-0.01), color='black', fontsize=10)
plt.annotate('Asset 2', xy=(d2[0, 2], d2[0, 1]), xytext=(d2[0, 2], d2[0, 1]-0.01), color='black', fontsize=10)
plt.annotate('Risk-free',  xy=(0.015, rf-0.01), xytext=(0.01, rf-0.01), color='black', fontsize=10)
plt.xlabel('Standard deviation', fontsize=15)
plt.ylabel('Expected return', fontsize=15)
plt.title('Risk and Return of two assets combined with the Risk-Free Rate', fontsize=15)
plt.xlim(0, sdp1.max())
plt.ylim(0, retp1.max())
plt.show()

11.5 Risk-Free Saving and Borrowing

Remember that we have several potential combinations between Assets 1 and 2.

R
corr12 = -0.164
ret1 = 0.175
sd1 = 0.258
var1 = sd1^2
ret2 = 0.055
sd2 = 0.115
var2 = sd2^2
covar12 = corr12*sd1*sd2
w1 = seq(from=-0.4, to=1.4, by=0.01)
w2 = 1 - w1
retp = w1*ret1 + w2*ret2
varp = w1^2 * var1 + w2^2 * var2 + 2*w1*w2*covar12
sdp = sqrt(varp)
port.names = paste("portfolio", 1:length(w1), sep=" ")
df <- data.frame(port.names, w1, w2, retp, sdp)
d1 <- df[df$w1 == 1, ]
d2 <- df[df$w2 == 1, ]
df1 <- data.frame(w1, retp, sdp)
rf = 0.03
wrf1   = 1 - w1
wrf2   = 1 - w2
retp1  = wrf1 * rf + w1 * ret1
sdp1   = w1*sd1
retp2  = wrf2 * rf + w2 * ret2
sdp2   = w2*sd2

p <- ggplot() +
  geom_point(data=df, aes(x=sdp, y=retp, color=ifelse(w1>1,"red" ,ifelse(w1<0,"grey","pink"))), size=1, show.legend = FALSE) +
  geom_point(data=df1,aes(x=sdp1,y=retp1,color=ifelse(w1>1,'blue','lightblue')), size=1, show.legend = FALSE) +
            geom_point()  +
            labs(x = "Standard deviation",y='Expected return', title = "Combinations of Risk and Return of two assets and the Risk-Free Rate" ) +
            xlim(0, max(sdp)) + ylim(0, max(retp) ) +
            geom_text(data = d1, aes(x=sdp+0.015, y=retp-0.01, label = "Asset 1") , color = "black", hjust=-0.2, vjust=0.75, size=4) +
            geom_text(data = d2, aes(x=sdp+0.035, y=retp, label = "Asset 2") , color = "black", hjust=-0.2, vjust=0.75, size=4) +
            geom_text(data = as.data.frame(rf), aes(x=0.02, y=rf-0.01, label = "Risk-free") , color = "black", hjust=-0.2, vjust=0.75, size=4) +            theme_solarized()+scale_color_identity()
ggplotly(p)
Python
corr12 = -0.164
ret1 = 0.175
sd1 = 0.258
var1 = sd1**2
ret2 = 0.055
sd2 = 0.115
var2 = sd2**2
covar12 = corr12*sd1*sd2
w1 = np.arange(-0.4, 1.41, 0.01)
w2 = 1 - w1
retp = w1*ret1 + w2*ret2
varp = w1**2 * var1 + w2**2 * var2 + 2*w1*w2*covar12
sdp = np.sqrt(varp)
port_names = [f"portfolio{i+1}" for i in range(len(w1))]
df = {'port.names': port_names, 'w1': w1, 'w2': w2, 'retp': retp, 'sdp': sdp}
df = pd.DataFrame(df)
d1 = df[df['w1'] == 1]
d2 = df[df['w2'] == 1]
rf = 0.03
wrf1   = 1 - w1
wrf2   = 1 - w2
retp1  = wrf1 * rf + w1 * ret1
sdp1   = w1*sd1
retp2  = wrf2 * rf + w2 * ret2
sdp2   = w2*sd2
#plot
plt.close()
fig, ax = plt.subplots()
scatter1 = ax.scatter(df['sdp'], df['retp'], s=3, c=np.where(df['w1'] > 1, 'red', np.where(df['w1'] < 0, 'grey', 'pink')))
scatter2 = ax.scatter(sdp1, retp1, s=3, c=np.where(df['w1'] > 1, 'blue', 'lightblue'))
plt.xlim(0, max(df['sdp']))
plt.ylim(0, max(df['retp']))
plt.xlabel('Standard deviation',fontsize=12)
plt.ylabel('Expected return',fontsize=12)
ax.text(0.005, 0.025, 'Risk-free', color='black', ha='left', va='center', fontsize=10)
ax.text(sd1+0.01,ret1, 'Asset 1', color='black', ha='left', va='center', fontsize=10)
ax.text(sd2+0.01,ret2, 'Asset 2', color='black', ha='left', va='center', fontsize=10)
plt.title('Combinations of Risk and Return of two assets and the Risk-Free Rate', fontsize=15)
plt.show()

11.5 Risk-Free Saving and Borrowing

In this situation, we are better off investing in the Tangent portfolio, then “moving” to adjust the level of risk.

R
corr12 = -0.164
ret1 = 0.175
sd1 = 0.258
var1 = sd1^2
ret2 = 0.055
sd2 = 0.115
var2 = sd2^2
covar12 = corr12*sd1*sd2
w1 = seq(from=-0.4, to=1.4, by=0.01)
w2 = 1 - w1
retp = w1*ret1 + w2*ret2
varp = w1^2 * var1 + w2^2 * var2 + 2*w1*w2*covar12
sdp = sqrt(varp)
port.names = paste("portfolio", 1:length(w1), sep=" ")
df <- data.frame(port.names, w1, w2, retp, sdp)
d1 <- df[df$w1 == 1, ]
d2 <- df[df$w2 == 1, ]
df1 <- data.frame(w1, retp, sdp)
# Including risk free rate
rf = 0.03
wrf1   = 1 - w1
wrf2   = 1 - w2
retp1  = wrf1 * rf + w1 * ret1
sdp1   = w1*sd1
retp2  = wrf2 * rf + w2 * ret2
sdp2   = w2*sd2
dfrf1 <- data.frame(w1, retp1, sdp1)
# Tangent portfolio
top = (ret1 - rf)*var2 - (ret2 - rf)*covar12
bot = (ret1 - rf)*var2 + (ret2 - rf)*var1 - (ret1 - rf + ret2 - rf)*covar12
w1_t = top/bot
w2_t = 1 - w1_t
retp_t = w1_t*ret1 + w2_t*ret2
varp_t = w1_t^2 * var1 + w2_t^2 * var2 + 2*w1_t*w2_t*covar12
sdp_t = sqrt(varp_t)
tan = (retp_t - rf)/sdp_t
dft <- data.frame(w1_t, retp_t, sdp_t)
# exploding tangent line
wt    = seq(from=0, to=2, by=0.01)
wrft   = 1 - wt
retpt = wrft * rf + wt * retp_t
sdpt  = wt*sdp_t
dft <- data.frame(wt, retpt, sdpt)
dft1 <- dft[dft$w1 == 1, ]

p <- ggplot() +
  geom_point(data=df, aes(x=sdp, y=retp, color=ifelse(w1>1,"red" ,ifelse(w1<0,"grey","pink"))), size=1, show.legend = FALSE) +
            geom_point(data=dfrf1,aes(x=sdp1,y=retp1,color=ifelse(w1>1,'blue','lightblue')), size=1, show.legend = FALSE) +
            geom_point(data=dft  ,aes(x=sdpt,y=retpt,color=ifelse(wt>1,'darkgreen','lightgreen')), size=1, show.legend = FALSE) +
            geom_point(size=1)  +
            labs(x = "Standard deviation",y='Expected return', title = "Efficient frontier and the tanget portfolio" ) +
            xlim(0, max(sdp)) + ylim(0, max(retp) ) +
            geom_text(data = d1, aes(x=sdp+0.015, y=retp-0.01, label = "Asset 1") , color = "black", hjust=-0.2, vjust=0.75, size=4) +
            geom_text(data = d2, aes(x=sdp+0.035, y=retp, label = "Asset 2") , color = "black", hjust=-0.2, vjust=0.75, size=4) +
            geom_text(data = dft, aes(x=sdp_t-0.04, y=retp_t, label = "Tanget Port.") , color = "black", hjust=-0.2, vjust=0.75, size=4) +
            geom_text(data = as.data.frame(rf), aes(x=0.02, y=rf-0.01, label = "Risk-free") , color = "black", hjust=-0.2, vjust=0.75, size=4) +            theme_solarized()+
        scale_color_identity()
ggplotly(p)
Python
corr12 = -0.164
ret1 = 0.175
sd1 = 0.258
var1 = sd1**2
ret2 = 0.055
sd2 = 0.115
var2 = sd2**2
covar12 = corr12*sd1*sd2
w1 = np.arange(-0.4, 1.41, 0.01)
w2 = 1 - w1
retp = w1*ret1 + w2*ret2
varp = w1**2 * var1 + w2**2 * var2 + 2*w1*w2*covar12
sdp = np.sqrt(varp)
port_names = [f"portfolio {i+1}" for i in range(len(w1))]
df = pd.DataFrame({'port.names': port_names, 'w1': w1, 'w2': w2, 'retp': retp, 'sdp': sdp})
d1 = df[df['w1'] == 1]
d2 = df[df['w2'] == 1]
df1 = df[['w1', 'retp', 'sdp']]

# Including risk free rate
rf = 0.03
wrf1 = 1 - w1
wrf2 = 1 - w2
retp1 = wrf1 * rf + w1 * ret1
sdp1 = w1*sd1
retp2 = wrf2 * rf + w2 * ret2
sdp2 = w2*sd2
dfrf1 = np.column_stack((w1, retp1, sdp1))
# Tangent portfolio
top = (ret1 - rf)*var2 - (ret2 - rf)*covar12
bot = (ret1 - rf)*var2 + (ret2 - rf)*var1 - (ret1 - rf + ret2 - rf)*covar12
w1_t = top/bot
w2_t = 1 - w1_t
retp_t = w1_t*ret1 + w2_t*ret2
varp_t = w1_t**2 * var1 + w2_t**2 * var2 + 2*w1_t*w2_t*covar12
sdp_t = np.sqrt(varp_t)
tan = (retp_t - rf)/sdp_t
dft = np.column_stack((w1_t, retp_t, sdp_t))
# exploding tangent line
wt = np.arange(0, 2.01, 0.01)
wrft = 1 - wt
retpt = wrft * rf + wt * retp_t
sdpt = wt*sdp_t
dft = np.column_stack((wt, retpt, sdpt))
dft1 = dft[dft[:, 0] == 1, :]
dft = pd.DataFrame(dft)
dft = {'wt': wt, 'retpt': retpt, 'sdpt': sdpt}

#plot
plt.close()
fig, ax = plt.subplots()
scatter1 = ax.scatter(df['sdp'], df['retp'], s=3, c=np.where(df['w1'] > 1, 'red', np.where(df['w1'] < 0, 'grey', 'pink')))
scatter2 = ax.scatter(sdp1, retp1, s=3, c=np.where(df['w1'] > 1, 'blue', 'lightblue'))
scatter3 = ax.scatter(dft['sdpt'], dft['retpt'], s=3, c=np.where(dft['wt']>1,'darkgreen','lightgreen'))
plt.xlim(0, max(df['sdp']))
plt.ylim(0, max(df['retp']))
plt.xlabel('Standard deviation',fontsize=15)
plt.ylabel('Expected return',fontsize=15)
plt.title('Efficient frontier and the tanget portfolio',fontsize=20)
ax.text(0.005, 0.025, 'Risk-free', color='black', ha='left', va='center', fontsize=12)
ax.text(sd1+0.01,ret1, 'Asset 1', color='black', ha='left', va='center', fontsize=12)
ax.text(sd2+0.01,ret2, 'Asset 2', color='black', ha='left', va='center', fontsize=12)
ax.text(sdp_t-0.07,retp_t, 'Tangent Port.', color='black', ha='left', va='center', fontsize=12)
plt.show()

11.5 Risk-Free Saving and Borrowing

Remember that you can have short positions:

If you borrow at the Rf to invest in a portfolio, you have a levered position.

You are investing more than 100% of your funds in the portolio. The weight is higher than 1.

The book calls this buying stocks on margin.

11.5 Risk-Free Saving and Borrowing

To identify the tangent portfolio, we compute the Sharpe ratio.

\[Sharpe\;ratio = \frac{E[R_p]-R_f}{Sd(R_p)}\]

To earn the highest possible expected return for any level of volatility we must find the portfolio that generates the steepest (highest inclination) possible line when combined with the risk-free investment.

The optimal portfolio to combine with the risk-free asset will be the one with the highest Sharpe ratio, where the line with the risk-free investment just touches, and so is tangent to, the efficient frontier of risky investments

The Sharpe ratio measures the ratio of reward-to-volatility provided by a portfolio.

11.5 Risk-Free Saving and Borrowing

Fact 1: The tangent portfolio is efficient.

Fact 2: Once we include the risk-free investment, all efficient portfolios are combinations of the risk-free investment and the tangent portfolio.

All investors should have the tangent portfolio. All investors should combine the tangent portfolio with the risk free asset to adjust the level of risk.

If you ignore the risk free asset, you have several efficient portfolios (efficient frontier). But once you combine with the risk free rate, there is only one.

11.5 Risk-Free Saving and Borrowing

What is a good Sharpe Ratio?

R
port$rf <- 0.1
port$sharpe <- (port$Return - port$rf) / port$Sd
p<-ggplot(port, aes(x=sharpe)) + 
        geom_histogram(alpha=0.2) + 
        theme_solarized() + 
        xlab("Sharpe") + ylab("Number of portfolios") + 
        labs(title = paste(int , "random portfolios - All Ibov (2010-2023, yearly returns, Rf = 0.10)") )
ggplotly(p)

Important

The following code uses monthly returns instead of annual.

Python
port['rf'] = 0.01 # using 1% of RF per month
port['sharpe'] = (port['Return'] - port['rf']) / port['Sd']
# Plot histogram
plt.close()
plt.hist(port['sharpe'], alpha=0.5)
plt.xlabel('Sharpe',fontsize=15)
plt.ylabel('Number of portfolios',fontsize=15)
plt.title(str(int_) + ' random portfolios - All Ibov (2010-2023, monthly returns)' , fontsize=25)
plt.show()

11.6 Efficient Port. and Required Returns

11.6 Efficient Port. and Required Returns

Let’s now consider how much return we will demand from a risky asset in order to make its inclusion in our portfolio worthy.

Let’s say that you hold an arbitrary portfolio P (it does not matter what is inside P for the moment).

You only include an additional asset if it excess return to the level of risk, right? That is, if it increases the Sharpe ratio of the resulting portfolio (Portfolio P + New asset)

What is the excess return that this asset i brings to your portfolio P?

  • \(E[R_i] - R_f\) (quite simple!)

What is the risk that this asset i brings to your portfolio P?

  • It is \(Sd(R_i) \times corr(R_i,R_p)\)

11.6 Efficient Port. and Required Returns

So now our question is: Is the gain in return from investing in i adequate to make up for the increase in risk?

To see that, we have to test if (because the right-hand part is the level of return-to-risk we already have in P).

\[\frac{E[R_i] - R_f}{Sd(R_i) \times corr(R_i,R_p)} > \frac{E[R_p] - R_f}{Sd(R_p)}\]

Moving the denominator to the right-hand side:

\[E[R_i] - R_f > Sd(R_i) \times corr(R_i,R_p) \times \frac{E[R_p] - R_f}{Sd(R_p)}\]

11.6 Efficient Port. and Required Returns

Which is:

\[E[R_i] - R_f > \frac{Sd(R_i) \times corr(R_i,R_p)}{Sd(R_p)} \times (E[R_p] - R_f)\]

Using a Beta notation:

\[E[R_i] - R_f > \beta_i^P \times (E[R_p] - R_f)\]

Then:

\[E[R_i] > R_f + \beta_i^P \times (E[R_p] - R_f)\]

11.6 Efficient Port. and Required Returns

That is, increasing the amount invested in i will increase the Sharpe ratio of portfolio P if its expected return \(E[R_i]\) exceeds its required return given portfolio P, defined as

\[R_i = R_f + \beta_i^P \times (E[R_p] - R_f)\]

11.6 Efficient Port. and Required Returns

The required return is the expected return that is necessary to compensate for the risk investment i will contribute to the portfolio.

The required return for an investment i is equal to the risk-free interest rate plus the risk premium of the current portfolio, P, scaled by i’s sensitivity to P, which is \(\beta_i^P\).

If i’s expected return exceeds this required return, then adding more of it will improve the performance of the portfolio.

11.6 Efficient Port. and Required Returns

To emphasize

This equation establishes the relation between an investment’s risk and its expected return.

It states that we can determine the appropriate risk premium for an investment from its beta with the efficient portfolio.

\[R_i = R_f + \beta_i^P \times (E[R_p] - R_f)\]

11.7 The CAPM

11.7 The CAPM

This is perhaps the most important model in Finance.

Three main assumptions:

  • Investors can buy and sell all securities at competitive market prices (without incurring taxes or transactions costs) and can borrow and lend at the risk-free interest rate.

  • Investors hold only efficient portfolios of traded securities.

  • Investors have homogeneous expectations regarding the volatilities, correlations, and expected returns of securities. There is no information asymmetry.

If investors have homogeneous expectations, they will identify the same efficient portfolio (the highest Sharpe).

Under the CAPM assumptions, we can identify the efficient portfolio: It is equal to the market portfolio.

A Market portfolio contains all traded securities in a economy.

11.7 The CAPM

If investors identify the same market portfolio (the highest Sharpe), then we can identify the Capital Market Line (CML).

All investors will have a combination of the Market Portfolio and the Rf rate.

11.7 The CAPM

R
p<-ggplot(port, aes(x=Sd, y=Return)) +
        geom_point(alpha=0.2) +
        xlab("Standard deviation") + ylab("Expected Return") + 
        labs(title = paste(int ,  "random portfolios - All Ibov (2010-2023, yearly returns)") ) + 
        geom_abline(intercept = 0.1, slope = max(port$sharpe), color="red", size=1) +
        xlim(0, 0.4) + ylim(0.075, 0.25) +   theme_solarized()
ggplotly(p)
Python
plt.close()
plt.figure(figsize=(20,10))
plt.scatter(port['Sd'], port['Return'], alpha=0.5, color="darkblue", s=50)
plt.xlabel('Standard deviation', fontsize=25)
plt.ylabel('Expected Return', fontsize=25)
plt.title(str(int_) + ' random portfolios - All Ibov (2010-2023, monthly returns)' , fontsize=25)
plt.xlim(0, 0.02+max(port['Sd']))
plt.ylim(0, 0.02+max(port['Return']))
ax.tick_params(axis='both', which='major', labelsize=14)
plt.plot([0, 0.75], [port['rf'].iloc[0], port['sharpe'].max()], color='red')
plt.show()

11.7 The CAPM

R
p<-ggplot(port, aes(x=Sd, y=Return)) +
        geom_point(alpha=0.2) +
        theme_solarized() + 
        xlab("Standard deviation") + ylab("Expected Return") + 
        labs(title = paste(int ,  "random portfolios - All Ibov (2010-2023, yearly returns)") ) + 
        geom_abline(intercept = max(port$rf), slope = max(port$sharpe), color="red", size=1)
ggplotly(p)

11.8 Determining the Risk Premium

11.8 Determining the Risk Premium

Under the CAPM assumptions, we can identify the efficient portfolio: It is equal to the market portfolio.

Thus, we can change \(R_p\) to \(R_m\)

\[E[R_i] = R_f + \beta_i \times (E[R_m] - R_f)\]

The beta of a security measures its volatility due to market risk relative to the market as a whole, and thus captures the security’s sensitivity to market risk.

This is the CAPM!

11.8 Determining the Risk Premium

List of Betas of Brazilian Companies.

R
start <-'2018-06-01' 
end   <- Sys.Date()
freq_data <-  'monthly'
ibov <- yf_get(tickers = "^BVSP",
                        first_date = start,
                        last_date = end,
                        thresh_bad_data = 0.5,
                        freq_data = freq_data )
asset <- yf_collection_get("IBOV", 
                         first_date = start,
                         last_date = end,
                         thresh_bad_data = 0.5,
                         freq_data = freq_data )
Error in df_ibov_comp[[1]] : índice fora de limites
R
ret_ibov <- ibov  %>%tq_transmute(select = price_adjusted,
                                  mutate_fun = periodReturn,
                                  period = 'monthly',
                                  col_rename = 'return')
ret_asset <- asset %>%    
            group_by(ticker) %>%
            tq_transmute(select = price_adjusted,
                                  mutate_fun = periodReturn,
                                  period = 'monthly',
                                  col_rename = 'return')
ret <- left_join(ret_ibov, ret_asset, by = c("ref_date" = "ref_date"))
#To compute beta
var <- ret %>% group_by(ticker) %>% summarise(var = var(return.x, return.x)) # Computing the variance of the market
cov <- ret %>% group_by(ticker) %>% summarise(cov = cov(return.x, return.y))
beta <- merge(cov, var, by ="ticker" )
beta$beta <- beta$cov/beta$var
# Risk free rate
beta$rf  <- 0.1 
# Equity risk premium from here: https://ceqef.fgv.br/node/594
beta$erp <- 0.16 
# expected return
beta$ep <- beta$rf + beta$beta * beta$erp
p<-ggplot(beta, aes(x = reorder(ticker, beta ), y = beta, fill=beta) ) +
  geom_bar(aes(fill = -beta), position = "dodge", stat="identity")+
  theme(legend.position="none", 
        axis.text.y = element_blank() )+
  coord_flip()+
  labs(y = "Beta", x = "Stocks", title = "Betas Brazilian companies, monthly data (2018-2023)") +   theme_solarized()
ggplotly(p)
Python
start = '2018-06-01'
end = '2023-01-01'
freq_data = '1mo'
ibov_tickers = ["ABEV3.SA","ALPA4.SA","AMER3.SA","B3SA3.SA","BBAS3.SA","BBDC3.SA","BBDC4.SA","BEEF3.SA","BPAN4.SA","BRAP4.SA","BRFS3.SA","BRKM5.SA","BRML3.SA","CCRO3.SA","CIEL3.SA","CMIG4.SA","COGN3.SA","CPFE3.SA","CPLE6.SA","CSAN3.SA","CSNA3.SA","CYRE3.SA","DXCO3.SA","ECOR3.SA","EGIE3.SA","ELET3.SA","ELET6.SA","EMBR3.SA","ENBR3.SA","ENEV3.SA","ENGI11.SA","EQTL3.SA","EZTC3.SA","FLRY3.SA","GGBR4.SA","GOAU4.SA","GOLL4.SA","HYPE3.SA","ITSA4.SA","ITUB4.SA","JBSS3.SA","JHSF3.SA","LREN3.SA","MGLU3.SA","MRFG3.SA","MRVE3.SA","MULT3.SA","PCAR3.SA","PETR3.SA","PETR4.SA","PRIO3.SA","QUAL3.SA","RADL3.SA","RENT3.SA","SANB11.SA","SBSP3.SA","SULA11.SA","SUZB3.SA","TAEE11.SA","TIMS3.SA","TOTS3.SA",  "UGPA3.SA","USIM5.SA","VALE3.SA","VIIA3.SA","VIVT3.SA","WEGE3.SA","YDUQ3.SA"]

ibov = yf.download(tickers="^BVSP", start=start, end=end, interval=freq_data)
asset = yf.download(tickers=ibov_tickers   ,start=start, end=end, interval=freq_data)

ret_ibov = pd.DataFrame(ibov['Adj Close'].pct_change().dropna())
ret_ibov.columns = ['return']

ret_asset = pd.DataFrame()
for col in asset.columns.get_level_values(1).unique():
    temp_df = pd.DataFrame(asset['Adj Close'][col].pct_change().dropna())
    temp_df.columns = ['return']
    temp_df['ticker'] = col.split('.')[0]
    ret_asset = pd.concat([ret_asset, temp_df], axis=0)
ret = pd.merge(ret_ibov, ret_asset, on='Date')
# To compute beta
var = pd.DataFrame(ret.groupby('ticker')['return_x'].var())
var = var.rename(columns={"return_x": "variance"})
cov = ret.groupby('ticker')['return_x', 'return_y'].cov().iloc[0::2, 1]
beta = pd.merge(var, cov, on='ticker')
beta.reset_index(inplace=True)
beta.rename(columns={"return_y": "covariance", "return_x": "variance", "ticker": "Ticker"}, inplace=True)
beta = beta[['Ticker', 'variance', 'covariance']]
beta.head()
beta['beta'] = beta['covariance'] / beta['variance']
# Risk free rate
beta['rf'] = 0.1
# Equity risk premium from here: https://ceqef.fgv.br/node/594
beta['erp'] = 0.16
# expected return
beta['ep'] = beta['rf'] + beta['beta'] * beta['erp']

plt.close()
plt.figure(figsize=(20,10))
beta = beta.sort_values('beta', ascending=True)
fig, ax = plt.subplots(figsize=(20,10))
ax.barh(beta['Ticker'], beta['beta'], color='#268bd2')
ax.set_title('Betas Brazilian companies, monthly data (2018-2023)', fontsize=25)
ax.set_xlabel('Beta', fontsize=20)
ax.set_ylabel('Ticker', fontsize=20)
plt.xticks(rotation=90, fontsize=7)
plt.tight_layout()
ax.tick_params(axis='x', labelsize=14)
plt.show()

11.8 Determining the Risk Premium

The Security Market Line

The CAPM implies there is a linear relationship between a stock’s Beta and its expected return.

This linear relationship has a name: Security Market Line (SML)

11.8 Determining the Risk Premium

11.8 Determining the Risk Premium

R
#Security Market Line
p<-ggplot(data=beta, aes(x = beta, y = ep  )  ) + geom_point() +
ggrepel::geom_text_repel(data=beta, aes(label = ticker) , size = 2.5 ,  max.overlaps = Inf)+
  theme(legend.position="none",  axis.text.y = element_blank() )+
  labs(y = "Expected return", 
       x = "Beta", 
       title = "SML Brazil, monthly data (2018-2023)" , 
       subtitle = "Rf = 10% per year, Risk premium = 16%" )+   theme_solarized()
p

Python
plt.close()
plt.figure(figsize=(10,6))
plt.scatter(beta['beta'], beta['ep'], c='#268bd2', alpha=0.7, s=8)
plt.ylabel('Expected Return', fontsize=20)
plt.xlabel('Beta', fontsize=20)
plt.title('SML Brazil, monthly data (2018-2023)', fontsize=20)
plt.suptitle('Rf = 10% per year, Risk premium = 16%', fontsize=15)
plt.show()

Questions and Final comments

Question

Imagine that you find the SML in the economy, and you find that two assets lies below it. Would you buy these assets?

Question

Both assets are expensive. They are offering less return than they are expected to offer according to the CAPM.

Because they are expensive, investors are expected to sell them. So prices are expected to drop.

Final comments I

The beta of a portfolio is the weighted average beta of the assets in the portfolio.

\[\beta_p = \sum_i x_i \times \beta_i\]

Final comments II

R
freq.data   <- 'daily'
start <-'2000-01-01' 
end   <-Sys.Date() 
ibov <- yf_get(tickers = "^BVSP",
                        first_date = start,
                        last_date = end,
                        thresh_bad_data = 0.5,
                        freq_data = freq.data )
asset <- yf_get(tickers = "WEGE3.SA",
                        first_date = start,
                        last_date = end,
                        thresh_bad_data = 0.5,
                        freq_data = freq.data )
ret_ibov <- ibov  %>%tq_transmute(select = price_adjusted,
                                  mutate_fun = periodReturn,
                                  period = 'daily',
                                  col_rename = 'return',
                                  type = 'log')
ret_asset <- asset %>%tq_transmute(select = price_adjusted,
                                  mutate_fun = periodReturn,
                                  period = 'daily',
                                  col_rename = 'return',
                                  type = 'log')
ret <- left_join(ret_ibov, ret_asset, by = c("ref_date" = "ref_date"))
window <-252
ret$var <- roll_cov(ret$return.x, ret$return.x, width = window)
ret$cov <- roll_cov(ret$return.x, ret$return.y, width = window)
ret$beta <- ret$cov / ret$var
ret <- subset(ret, ret$beta != "NA" )

bweg<- ggplot(ret, aes(x= return.x, y=return.y)) + 
  geom_point()+
  geom_smooth(method=lm, se=FALSE)+
  labs( y = "Daily returns WEGE3", x="Daily returns IBOV",title = "Beta WEGE3")+
  theme(plot.title = element_text(color="darkgreen", size=18, face="bold"),
        panel.background = element_rect(fill = "grey95", colour = "grey95"),
        axis.title=element_text(size=12,face="bold"),
        title=element_text(size=10,face="bold", color="darkgreen"),
        axis.text.y = element_text(face = "bold", color = "darkgreen", size = 12),
        axis.text.x = element_text(face = "bold", color = "darkgreen", size = 12))+
  xlim(-0.2, 0.2) + ylim(-0.2, 0.2) +   theme_solarized()

p<-ret %>%
    ggplot(aes(x = ref_date, y = beta)) +
    labs( y = "", x="",title = "Beta WEGE3 through time")+
    geom_line()+   theme_solarized()  + transition_reveal(ref_date) 
#ggplotly(p)
animate(p, fps = 10, duration = 10)

Final comments III

R
# rf = 3%
port1 <- port
port1$rf <- 0.03
port1$sharpe <- (port1$Return - port1$rf) / port1$Sd
# rf = 7.5%
port2 <- port
port2$rf <- 0.075
port2$sharpe <- (port2$Return - port2$rf) / port2$Sd
# rf = 15%
port3 <- port
port3$rf <- 0.15
port3$sharpe <- (port3$Return - port3$rf) / port3$Sd
#ggplot
p<-ggplot(port, aes(x=Sd, y=Return)) +
        geom_point(alpha=0.2) +
        xlab("Standard deviation") + ylab("Expected Return") + 
        labs(title = paste(int ,  "random portfolios - All Ibov (2010-2023, yearly returns)") ) + 
        geom_abline(intercept = max(port$rf) , slope = max(port$sharpe) , color="red",  size=1)  +
        geom_abline(intercept = max(port1$rf), slope = max(port1$sharpe), color="blue", size=1) +
        geom_abline(intercept = max(port2$rf), slope = max(port2$sharpe), color="green", size=1) +
        geom_abline(intercept = max(port3$rf), slope = max(port3$sharpe), color="orange", size=1) +
        xlim(0, 0.4) + ylim(0, 0.25) +   theme_solarized() +
        geom_text( aes(x=0, y= max(port$rf)-0.02 , label = "Rf = 10%") , color = "red", hjust=-0.2, vjust=0.75, size=3.5) +
        geom_text( aes(x=0, y= max(port1$rf)-0.02, label = "Rf = 3%") , color = "blue", hjust=-0.2, vjust=0.75, size=3.5)  +
        geom_text( aes(x=0, y= max(port2$rf)-0.02, label = "Rf = 7.5%") , color = "green", hjust=-0.2, vjust=0.75, size=3.5)+
        geom_text( aes(x=0, y= max(port3$rf)-0.02, label = "Rf = 15%") , color = "orange", hjust=-0.2, vjust=0.75, size=3.5)
ggplotly(p)

Problems

Question 1

Question 2

Question 3

Question 4

Comments?

THANK YOU!

QUESTIONS?